
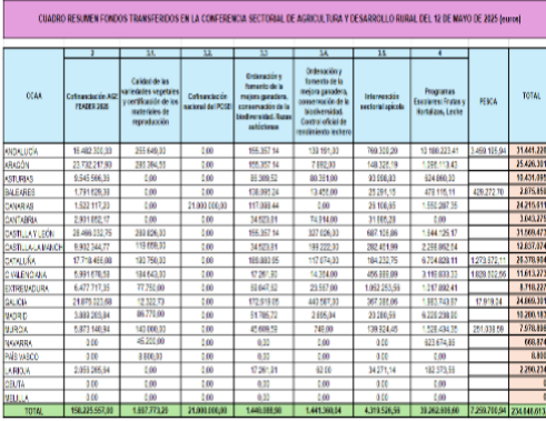
La cantidad principal, 158,2 millones de euros, de los más de 234 millones, corresponde a la
cofinanciación estatal de las acciones de desarrollo rural de las autonomías, incluidas en el Plan Estratégico de la PAC.
Se destinan a nivel nacional 39,2 millones de euros para los programas escolares de consumo de frutas, hortalizas y leche.
La Conferencia Sectorial de Agricultura y Pesca celebrada hoy ha acordado la distribución territorial entre las comunidades autónomas de diversos créditos por un importe total de 234.646.613,41 euros para financiar intervenciones de desarrollo rural contempladas en el Plan Estratégico Nacional de la Política Agraria Común (PAC) y distintas actuaciones en materia de competitividad y calidad de la producción y de los mercados agrarios y del Programa Comunitario de Apoyo a las Producciones Agrarias (POSEI) de
Canarias.
También se incluyen el programa escolar para el fomento del consumo de frutas, hortalizas y leche y la financiación de las ayudas para compensar las paradas temporales de la flota pesquera en el Cantábrico, golfo de Cádiz y el Mediterráneo.
DESARROLLO RURAL
El crédito principal, por importe de 158.225.557 euros, es para la financiación de intervenciones del Fondo Europeo Agrícola de Desarrollo Rural (Feader) recogidas en el Plan Estratégico de la Política Agrícola Común (PAC) 2023-2027, que fue autorizada por el Consejo de Ministros el pasado martes día 6.
El Plan Estratégico de la PAC contempla medidas de apoyo de diferente naturaleza, orientadas a mejorar la competitividad del sector agroalimentario, asegurar la gestión sostenible de los recursos naturales y la acción frente al clima y a alcanzar un desarrollo territorial equilibrado de las zonas rurales. Estas medidas se financian con el FEADER y las contribuciones de la Administración General del Estado y de las propias comunidades autónomas.
La distribución inicial del importe a repartir entre las comunidades autónomas, condicionada a su aprobación por la Conferencia Sectorial, es la siguiente:

AGRICULTURA Y GANADERÍA
La Conferencia Sectorial ha aprobado también la distribución territorial de cuatro créditos para la financiación de diversas líneas de actuación en materia de calidad y competitividad de las producciones y los mercados, por un importe total de 30.223.512,68 euros, que fue autorizada por acuerdo del Consejo de Ministros del pasado 30 de abril.
Intervención Sectorial Apícola
La Intervención Sectorial Apícola (ISA) está recogida en el Plan Estratégico Nacional de la PAC 2023-2027 con una dotación de 4,3 millones de euros. Esta intervención tiene por objeto paliar las debilidades estructurales del sector y reforzar su competitividad.
La financiación se estructura bajo un régimen de cofinanciación al 50 % entre la Unión Europea y los Estados miembros. En el caso de España, el 50 % nacional se reparte entre el Ministerio de Agricultura, Pesca y Alimentación (25 %) y las comunidades autónomas (25 %), salvo en el País Vasco y Navarra, que asumen el 50 % estatal con su propio presupuesto.
Las ayudas apícolas se articulan en torno a siete tipos de intervención, entre las que se incluyen servicios de asesoramiento, inversiones en activos, análisis de la miel, medidas de repoblación, investigación y promoción. El objetivo es avanzar en la profesionalización del sector, modernizar las explotaciones, mejorar los sistemas de producción y comercialización, y abrir nuevos mercados con productos de alta
calidad.
Mejora de variedades vegetales y certificación del material vegetal
La línea orientada a la calidad de las variedades vegetales y a la certificación de los materiales de reproducción está financiada con cerca de 1,7 millones de euros.
Esta actuación permite la ejecución de ensayos agronómicos en todo el territorio nacional para evaluar el comportamiento y el valor agronómico de las nuevas variedades vegetales, requisito imprescindible para su inscripción en el Registro de Variedades Vegetales.
Asimismo, se mantiene el sistema de certificación mediante controles de calidad, sanidad y trazabilidad de semillas y plantas de vivero, para asegurar su adecuación a las exigencias del mercado y su correcto uso por parte del sector agrícola.
Apoyo a las razas autóctonas españolas
Se autoriza también un crédito de 1,4 millones de euros destinados al fomento de las razas autóctonas españolas, en apoyo a las asociaciones de criadores reconocidas por las comunidades autónomas. Estas ayudas permiten la gestión de libros genealógicos, la conservación de bancos de germoplasma y el desarrollo de programas de mejora genética.
Este apoyo se centra especialmente en razas en peligro de extinción, generalmente vinculadas a sistemas extensivos, que requieren de un apoyo específico debido a sus particularidades y como parte esencial del patrimonio genético ganadero español. Estas razas contribuyen a la sostenibilidad del medio rural, la prevención de incendios y la producción de alimentos de calidad vinculados al territorio.
Control del rendimiento lechero
En el marco de las actuaciones para la mejora ganadera, se destinan 1,4 millones de euros al control oficial del rendimiento lechero. Esta actuación permite la recogida sistemática de datos sobre la producción y calidad de la leche en explotaciones bovinas, ovinas y caprinas, que proporcionan información esencial tanto para la evaluación genética de los animales, como para la toma de decisiones
técnicas por parte de los ganaderos en relación con el manejo, la alimentación y la selección de reproductores.
La Comisión Nacional de Control Lechero Oficial, integrada por representantes del Ministerio de Agricultura, Pesca y Alimentación, las comunidades autónomas y las organizaciones de criadores, asegura la coordinación y aplicación homogénea de este sistema en todo el territorio nacional.
PROGRAMA ESCOLAR DE FRUTAS, HORTALIZAS Y LECHE
La Conferencia Sectorial ha acordado el reparto de 39.262.606,60 para el desarrollo del programa de fomento del consumo de frutas, hortalizas y leche en los centros escolares, que tiene como objetivos la promoción de hábitos saludables y la disminución de la obesidad y otras enfermedades relacionadas.
Cuadro Resumen:







